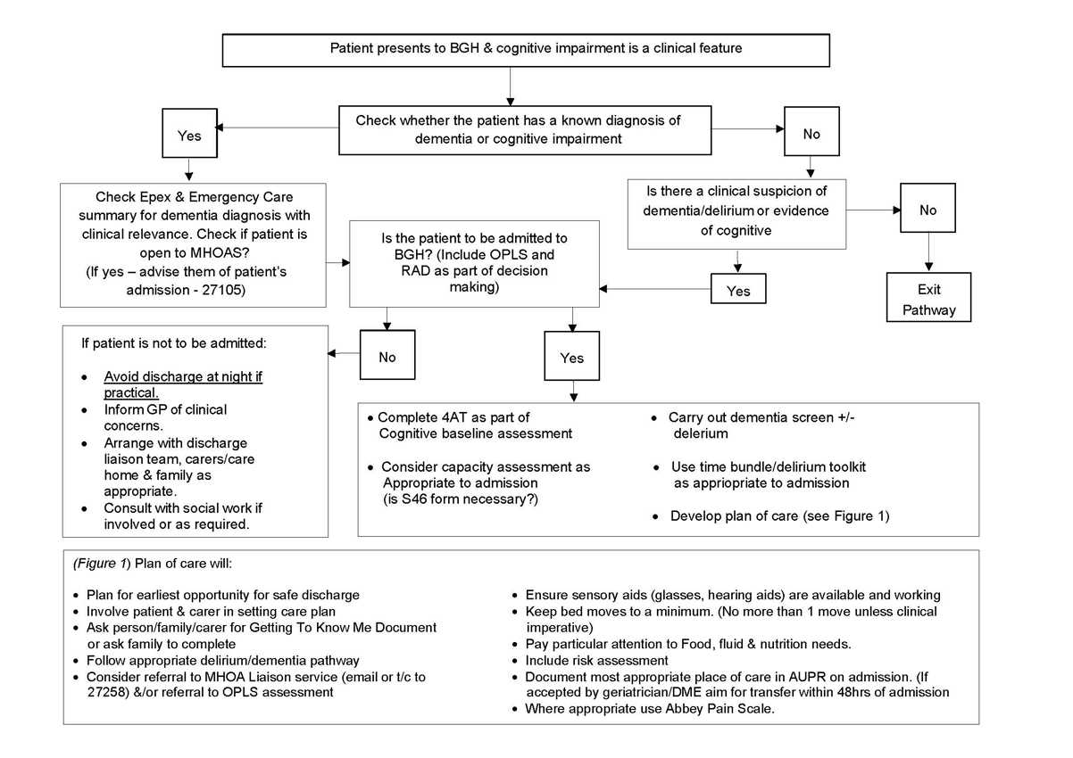
People with Dementia or Cognitive impairment presenting to the BGH

Warning

Editorial Information

Last reviewed: 31/07/2017

Next review date: 01/08/2019

Author(s): Keddie D.

Version: 4.0

Author email(s): diane.keddie@nhs.scot.

Co-Author(s): Dementia Working Group.

Approved By: Older People Acute Health (OPAH) Group

Reviewer name(s): Keddie D, Lerpiniere P.