Incidental Surgery During Pregnancy (594)
Warning
Key Messages
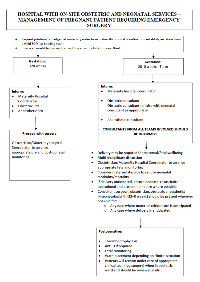
- All women of child-bearing age should have their pregnancy status clarified on admission to hospital.
- Gestation should be established from a valid EDD:
- Request print-out of electronic maternity notes via Badgernet from Maternity Hospital Coordinator
- If gestation cannot be established from booking scan in notes, discuss with Obstetrics StR regarding further US scan
- The pregnant woman should have a named consultant obstetrician
- Where gestation is > 20+0 weeks, Surgery should be performed in a centre with obstetric and neonatal services on site wherever feasible.
- Multi-disciplinary planning is essential
- Pregnant women housed in an obstetric ward will remain under the care of the relevant clinical team (e.g. surgery) and should be reviewed daily
- In the rare situation that surgery cannot be performed in a centre with on-site obstetric and neonatal services, the consultant obstetrician from the woman’s maternity unit should be contacted at the earliest opportunity. The obstetric consultant should notify the appropriate neonatal, ScotSTAR, midwifery and obstetric anaesthetic teams.
- In this situation, a Teams call in advance with all relevant parties, including ScotSTAR, should be held.
The facility for emergency conference calling is available via the ScotSTAR emergency line (03333 990222)
- It is estimated that 0.2-1.6% of parturients will require a surgical procedure whilst pregnant1,2
- Indications for surgery may be pregnancy or non-pregnancy related
- To maintain maternal safety the physiological and anatomical changes of pregnancy must be considered and surgical and anaesthetic techniques modified accordingly
- Fetal wellbeing is related to the avoidance of fetal asphyxia, teratogenic drugs and preterm labour. Maternal hypoxia, extreme hypo or hypercarbia, hypotension, and uterine hypertonus must be avoided.
- Surgery should be performed in the second trimester where possible1. Elective surgery is generally postponed until at least 6-weeks after delivery. However, a pregnant woman should never be denied indicated surgery, regardless of trimester3,4
- The absolute risk of an adverse birth outcome in pregnant women having non-obstetric surgery during pregnancy is low, and any increase in risk is difficult to disentangle from the underlying pathology necessitating surgery1,5
- Pregnancy is not a contraindication for laparoscopic surgery and the prevalence of laparoscopic surgery is increasing.2 Discussion with an obstetrician is advised and consideration should be given to fetal monitoring. Intra-abdominal pressures should be kept between 12-15mmHg where possible3
- Anti-D should be considered in pregnant women who are rhesus negative, particularly if intra-abdominal surgery is planned. This should be discussed with the obstetrician. If needed, minimum doses of Anti-D depend on fetal gestation:
- <12 weeks gestation – Anti-D often not required
- 12 – 20 weeks – Minimum 25O IU IM anti-D into deltoid within 72 hours of the Potentially Sensitising Event (PSE).
- >20 weeks – Kleihauer Test to be taken (1x EDTA [purple] blood tube). Minimum 500 IU IM anti-D within 72 hours of PSE. Further doses as directed by Kleihauer result (discuss with obstetrician/haematologist).


Pre-operative
- Ensure FBC and G+S sent (other bloods dependent on clinical situation). Note Rhesus status and if rhesus –ve, consider anti-D as directed above. Note G&S valid for only 72-hours in obstetric patients.
- Discuss case with ‘Senior on’ anaesthetic consultant. Obstetric anaesthetic consultant should be informed in all cases over 20-weeks gestation, and in any other case where advice is required
- Give Ranitidine 150mg po or 50mg IV pre-operatively
- Give Sodium Citrate 0.3M oral solution prior to induction in patients > 16-weeks gestation (can be obtained from labour ward)
- Ensure availability of Syntocinon, Ergometrine, Syntometrine and Hemabate® in operating theatre
- Site 14 / 16G cannula(e)
Intra-operative
- 15° left lateral tilt mandatory after 16-weeks and consider at earlier gestation if hypotensive, symptomatic, or large bump (e.g. multiples)
- Regional technique preferable where feasible
- N.B. Uteroplacental circulation is not auto-regulated and perfusion is entirely dependent on maintenance of adequate maternal blood pressure and cardiac output. Placental perfusion must be maintained by rapid treatment of any hypotension
- Smaller volumes of local anaesthetic required for spinal / epidural blockade. Spinal dose of 2.5ml 0.5% heavy bupivacaine + 0.3mg diamorphine used to achieve block to T4 for caesarean birth at term. Greater than 2.5ml used in preterm, IUGR etc. Advice can be obtained from consultant obstetric anaesthetist
- If GA, careful pre-oxygenation - consider head up position, ramping, Oxford pillow. Higher risk of difficult intubation
- RSI after 16 weeks or if symptomatic of reflux at any gestation. Use video-laryngoscope where available. Use small ETT (size 7). Have bougie / stylet available
- Thiopentone, propofol, suxamethonium and rocuronium are suitable for RSI in obstetric patients.
- Use of a short acting opioid (e.g. alfentanil) to obtund response to intubation in presence of hypertension / pre-eclampsia is recommended. If these conditions are present, the consultant obstetric anaesthetist should attend wherever possible
- MHRA suggests Nitrous Oxide best avoided in first trimester (though not absolutely contraindicated if benefits thought to outweigh risk)
- ETCO2 should be kept in the normal pregnant range (3.7-4.2kPa)
- Consider arterial line and PaCO2 monitoring in laparoscopic patients as PaCO2 may be significantly greater than ETCO2
- Maintain SBP within 20% of pre-operative levels (placental flow dependent on maternal BP / CO)
- Phenylephrine is commonly used to treat hypotension. Make up as Phenylephrine 10mg in 500ml (20 micrograms/ml). Give either as Phenylephrine infusion (50ml syringe in PK pump at 60-100ml/hr) or as Phenylephrine 40-60 microgram boluses
- Avoid NSAIDs and Ketamine before delivery
- Unless confronted with a ‘cannot intubate, cannot ventilate’ scenario, the 2019 Society for Obstetric Anesthesia and Perinatology consensus statement on sugammadex recommends against its use during pregnancy because of concerns about progesterone binding.7
- Reversal with Neostigmine and Atropine is instead recommended (Neostigmine crosses the placenta and can cause fetal bradycardia. Glycopyrrolate does not cross the placenta8). An indicative initial dose of atropine (with 2.5mg neostigmine) would be 0.6-1.2mg.9 Compared to glycopyrrolate, a more marked increase in heart rate may occur initially with atropine, however excessive bradycardia may then occur and require further atropine administration, beyond this initial dose.10
- Consider intra-operative use of intermittent compression stockings in view of increased risk of thromboembolism
- Analgesia - Paracetamol (weight appropriate dose), opioids and regional techniques can be used. NSAIDs can be used following delivery of the fetus if no other contraindications
IF DELIVERY of fetus required
- Inform obstetrician, neonatal team and obstetric anaesthetist.
- Start Syntocinon infusion after umbilical cord cut (5 units Syntocinon slow bolus then 15 units Syntocinon in 500ml Hartmann’s over 30 mins (1000ml/hr) using a controlled infusion pump (eg Alaris). Further uterotonics at discretion of obstetrician
- If Syntocinon 5 units bolus requested, this should be given slowly. Rapid administration can cause hypotension
- Ergometrine (if required) should be given as a slow IV injection (dilute Ergometrine 500 micrograms to 10ml with Sodium Chloride 0.9%). Ergometrine is associated with nausea and vomiting so co-administration of an anti-emetic is advised. Avoid in hypertension, sepsis, heart disease
- Hemabate® (if required) should be given by deep IM injection (Hemabate® 250 micrograms). Caution in hypertension, pre-eclampsia, asthma, heart disease, liver disease, glaucoma. Can be repeated every 15 minutes up to 8 doses. Hemabate® MUST NEVER BE GIVEN INTRAVENOUSLY
Post-operative
- Post-op fetal monitoring as directed by obstetrician
- Discharge destination dependent on gestation and clinical situation – liaise with surgeon / obstetrician
- Thromboprophylaxis - Early mobilisation, hydration, TEDs, LMWH dose appropriate for maternal weight (unless contraindicated). Follow GGC antenatal / postnatal guidance as appropriate. This can be obtained via the Maternity Hospital Coordinator, via Staffnet or via this link.
Breastfeeding
- Breastfeeding is acceptable to continue after anaesthesia and should be supported as soon as the patient is alert and able to feed, without the need to discard breast milk. Recent guidance from the Association of Anaesthetists is available, some of which is highlighted below:11
- Anaesthetic and non-opioid analgesic drugs are transferred to breast milk in only very small amounts
- Drugs such as opioids and benzodiazepines should be used with caution, especially after multiple doses and in babies up to 6 weeks old (corrected for gestational age). In this situation, the infant should be observed for signs of abnormal drowsiness and respiratory depression, especially if the woman is also showing signs of sedation.
- Codeine should be avoided in breastfeeding women
- Consult Clinical Pharmacist, Medicines Information Service or British National Formulary for further guidance
Contact numbers (GRI / PRM)
- Labour Ward – Tel 13302
- PRM Hospital coordinator - 13707
- Obstetric StR - Page 10055
- Obstetric consultant – Page 10056, 8:30-22:00 (via switchboard outwith these hours)
- Obstetric Anaesthetic StR – 12266
- Consultant obstetric anaesthetist / twilight anaesthetist – Page 12205 (08:00-00:00), via switchboard after 00:00
- Anaesthetics StR (duty 2 / duty 1) – Page 13298 / 13299
- Anaesthetic consultant (senior on) – Page 13259 (via switchboard after 18:00)
- Neonatal StR - page 12200
- Neonatal consultant – page 12210
Contact numbers (RAH)
- Labour ward – Tel. 07269
- Maternity Hospital Coordinator – Available via labour ward on page 56297
- Obstetric StR - Page 56014
- Obstetric consultant – Page 56193, 9:00-17:00 (via switchboard outwith these hours)
- Anaesthetic StR – Page 56233
- Anaesthetic consultant – Via Labour ward or switchboard
- Neonatal StR - Page 56017
- Neonatal consultant – Via switchboard
Contact Numbers (QEUH)
- Labour ward – Tel. 62292
- Maternity Hospital Coordinator – Page 17292
- Obstetric StR – Page 17111
- Obstetric Consultant – Page 17222
- Anaesthetic StR – (duty 2) – Page 17307
- Anaesthetist consultant – Consultant obstetric anaesthetist –Page 17272
- Neonatal consultant – Tel: 62261
Contact Numbers (ScotSTAR)
- Elective requests/discussion - 0141 8106672
- Emergency referral – 03333 990222